Упражнение 548 ГДЗ Колягин Ткачёва 7 класс (Алгебра)
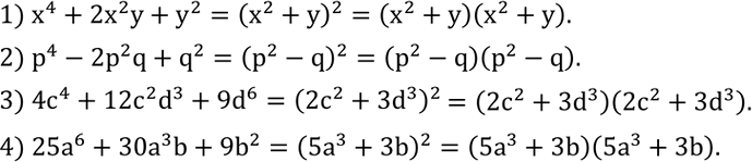
Разложить на множители многочлен: 1) x^4+2x^2 y+y^2; 2) p^4-2p^2 q+q^2; 3) 4c^4+12c^2 d^3+9d^6; 4) 25a^6+30a^3 b+9b^2. Функция y(x) задана графиком (рис.24,б).


Ниже вариант решения задания из учебника Колягин, Ткачёва, Фёдорова 7 класс, Просвещение:
Разложить на множители многочлен:
1) x^4+2x^2 y+y^2;
2) p^4-2p^2 q+q^2;
3) 4c^4+12c^2 d^3+9d^6;
4) 25a^6+30a^3 b+9b^2.
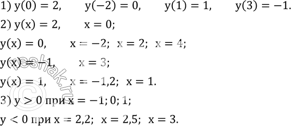
Функция y(x) задана графиком (рис.24,б).
1) Найти y(0), y(-2), y(1), y(3).
2) При каком значении x значение функции равно 2, 0, -1, 1?
3) Назвать несколько значений x, при которых значение функции положительно.
4) Назвать несколько значений x, при которых значение функции отрицательно.
