Упражнение 549 ГДЗ Колягин Ткачёва 7 класс (Алгебра)
Разложить на множители многочлен: 1) a^4-8a^2+16; 2) b^4-18b^2+81; 3) 25a^4-10a^2 b+b^2; 4) 16-8a^2 b^2+a^4 b^4. Дана функция y=x^2-5x+6. Выяснить, принадлежит ли графику этой функции точка с координатами:


Ниже вариант решения задания из учебника Колягин, Ткачёва, Фёдорова 7 класс, Просвещение:
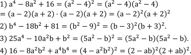
Разложить на множители многочлен:
1) a^4-8a^2+16;
2) b^4-18b^2+81;
3) 25a^4-10a^2 b+b^2;
4) 16-8a^2 b^2+a^4 b^4.
Дана функция y=x^2-5x+6. Выяснить, принадлежит ли графику этой функции точка с координатами:
1) (1;2); 2) (-2;0); 3) (-2;20); 4) (3;0).
