Упражнение 546 ГДЗ Колягин Ткачёва 7 класс (Алгебра)
Разложить на множители многочлен: 1) 9a^2-6a+1; 2) 1+2c+c^2; 3) 36b^2+12b+1; 4) 81-18x+x^2. На рисунке 23 изображен график зависимости долготы дня от времени года.


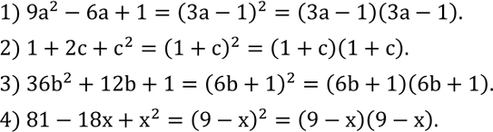
Ниже вариант решения задания из учебника Колягин, Ткачёва, Фёдорова 7 класс, Просвещение:
Разложить на множители многочлен:
1) 9a^2-6a+1;
2) 1+2c+c^2;
3) 36b^2+12b+1;
4) 81-18x+x^2.
На рисунке 23 изображен график зависимости долготы дня от времени года. На оси абсцисс отмечены номера месяцев. По оси ординат отложена долгота дня, начиная с первого числа первого месяца.
1) В каком месяце долгота дня первого числа равна 600 мин, 750 мин, 850 мин?
2) В какое время года долгота первого дня месяца больше 700 мин, меньше 600 мин?
3) Какова долгота дня в первый день января, марта, мая, июля, октября?
