Упражнение 576 ГДЗ Колягин Ткачёва 7 класс (Алгебра)
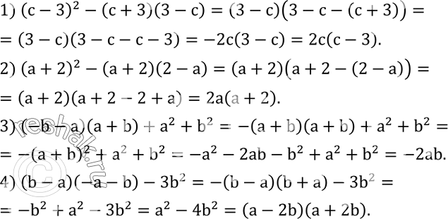
Разложить на множители: 1) (c-3)^2-(c+3)(3-c); 2) (a+2)^2-(a+2)(2-a); 3) (-b-a)(a+b)+a^2+b^2; 4) (b-a)(-a-b)-3b^2. На рисунке 28 изображены графики движения автомобиля и автобуса. Используя рисунок, ответить на вопросы:


Ниже вариант решения задания из учебника Колягин, Ткачёва, Фёдорова 7 класс, Просвещение:
Разложить на множители:
1) (c-3)^2-(c+3)(3-c);
2) (a+2)^2-(a+2)(2-a);
3) (-b-a)(a+b)+a^2+b^2;
4) (b-a)(-a-b)-3b^2.
На рисунке 28 изображены графики движения автомобиля и автобуса. Используя рисунок, ответить на вопросы:
1) Какой путь прошел за первые 3 ч автобус; автомобиль?
2) Какой была скорость автомобиля; автобуса до остановки?
3) Какой путь прошла каждая из автомашин до остановки?
4) Сколько времени двигался до остановки автобус; автомобиль?
5) Какой была продолжительность стоянок автобуса и автомобиля?
6) Какой стала скорость движения автобуса; автомобиля после стоянки?
