Упражнение 575 ГДЗ Колягин Ткачёва 7 класс (Алгебра)
Разложить на множители: 1) 6(a+b)+(a+b)^2; 2) 4(x-y)+3(x-y)^2; 3) (a-b)+(b-a)^2; 4) (a-b)^2-(b-a). Пешеход идет со скоростью 3 км/ч. Выразить путь s, пройденный пешеходом за t часов.


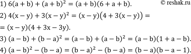
Ниже вариант решения задания из учебника Колягин, Ткачёва, Фёдорова 7 класс, Просвещение:
Разложить на множители:
1) 6(a+b)+(a+b)^2;
2) 4(x-y)+3(x-y)^2;
3) (a-b)+(b-a)^2;
4) (a-b)^2-(b-a).
Пешеход идет со скоростью 3 км/ч. Выразить путь s, пройденный пешеходом за t часов. Построить график пути в зависимости от времени. Найти по графику путь, пройденный пешеходом за 0,5 ч, 1 ч, 1 ч 30 мин.
