Упражнение 619 ГДЗ Колягин Ткачёва 7 класс (Алгебра)
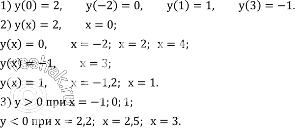
Функция y(x) задана графиком (рис.24,б). 1) Найти y(0), y(-2), y(1), y(3). 2) При каком значении x значение функции равно 2, 0, -1, 1?


Ниже вариант решения задания из учебника Колягин, Ткачёва, Фёдорова 7 класс, Просвещение:
Функция y(x) задана графиком (рис.24,б).
1) Найти y(0), y(-2), y(1), y(3).
2) При каком значении x значение функции равно 2, 0, -1, 1?
3) Назвать несколько значений x, при которых значение функции положительно.
4) Назвать несколько значений x, при которых значение функции отрицательно.
Дана система уравнений
{(4x+3y=6
2x+y=4)+
Из следующих пар чисел выбрать ту, которая является решением данной системы:
1) x=0; y=2; 2) x=3; y=-2.
