Упражнение 618 ГДЗ Колягин Ткачёва 7 класс (Алгебра)
Функция y(x) задана графиком (рис.24,а). 1) Найти y(0). y(2), y(4), y(-1). 2) При каком значении x значение функции равно 1, 2, 0?


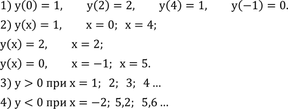
Ниже вариант решения задания из учебника Колягин, Ткачёва, Фёдорова 7 класс, Просвещение:
Функция y(x) задана графиком (рис.24,а).
1) Найти y(0). y(2), y(4), y(-1).
2) При каком значении x значение функции равно 1, 2, 0?
3) Назвать несколько значений x, при которых значение функции положительно.
4) Назвать несколько значений x, при которых значение функции отрицательно.
(Устно.) Проверить, что числа x=4, y=3 являются решением системы
{(2,5x-3y=1
5x-6y=2)+
