Упражнение 671 ГДЗ Колягин Ткачёва 7 класс (Алгебра)
1) Построить треугольник ABC по координатам его вершин A (-3;0), B (4;5), C (0;-4). Найти координаты точки пересечения стороны AB с осью Oy.


Ниже вариант решения задания из учебника Колягин, Ткачёва, Фёдорова 7 класс, Просвещение:
1) Построить треугольник ABC по координатам его вершин A (-3;0), B (4;5), C (0;-4). Найти координаты точки пересечения стороны AB с осью Oy.
2) Построить треугольник DCE по координатам его вершин D (-4;0), C (0;-2), E (5;3). Найти координаты точки пересечения стороны CE с осью Ox.
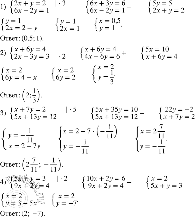
Решить систему уравнений:
1) {(2x+y=2
6x-2y=1)+
2) {(x+6y=4
2x-3y=3)+
3) {(x+7y=2
5x+13y=12)+
4) {(5x+y=3
9x+2y=4)+
