Упражнение 675 ГДЗ Колягин Ткачёва 7 класс (Алгебра)
Найти значение k, если график функции y=kx проходит через точку: 1) B (-30;3); 2) A (4;-80).Показать, что система уравнений имеет бесконечно много решений:


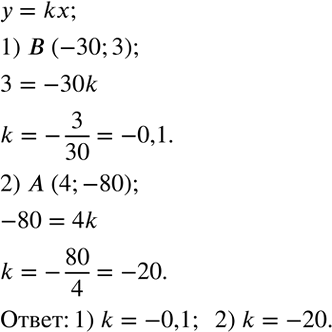
Ниже вариант решения задания из учебника Колягин, Ткачёва, Фёдорова 7 класс, Просвещение:
Найти значение k, если график функции y=kx проходит через точку: 1) B (-30;3); 2) A (4;-80).
Показать, что система уравнений имеет бесконечно много решений:
1) {(x=5-y
y=5-x)+
2) {(2x+3y=13
y=(13-2x)/3)+
