Упражнение 672 ГДЗ Колягин Ткачёва 7 класс (Алгебра)
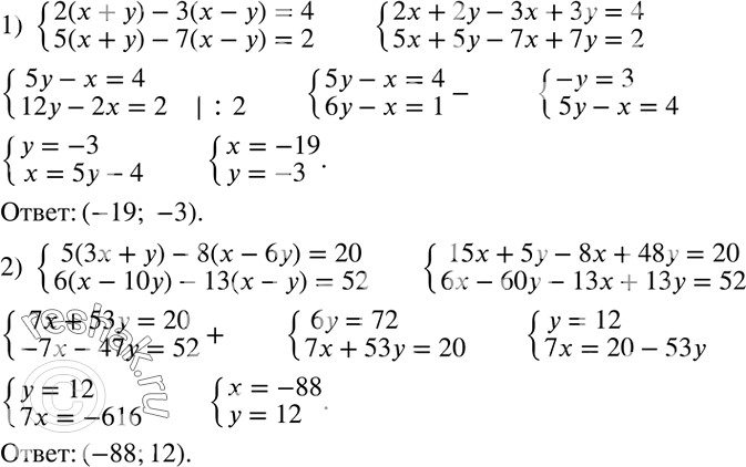
Функция y = kx задана таблицей. Найти коэффициент k и заполнить таблицу:Решить систему уравнений: 1) {(2(x+y)-3(x-y)=4 5(x+y)-7(x-y)=2)+ 2) {(5(3x+y)-8(x-6y)=20 6(x-10y)-13(x-y)=52)+ *Цитирирование задания со ссылкой на учебник производится исключительно в учебных целях для лучшего понимания разбора решения задания.


Ниже вариант решения задания из учебника Колягин, Ткачёва, Фёдорова 7 класс, Просвещение:
Функция y = kx задана таблицей. Найти коэффициент k и заполнить таблицу:
Решить систему уравнений:
1) {(2(x+y)-3(x-y)=4
5(x+y)-7(x-y)=2)+
2) {(5(3x+y)-8(x-6y)=20
6(x-10y)-13(x-y)=52)+
