Упражнение 673 ГДЗ Колягин Ткачёва 7 класс (Алгебра)
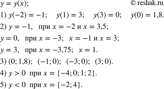
Функция y=y(x) задана графиком. Пользуясь этим графиком (рис.34), найти: 1) y(-2); y(1); y(3); y(0); 2) значение x, при котором функция принимает значение, равное -1;



Ниже вариант решения задания из учебника Колягин, Ткачёва, Фёдорова 7 класс, Просвещение:
Функция y=y(x) задана графиком. Пользуясь этим графиком (рис.34), найти:
1) y(-2); y(1); y(3); y(0);
2) значение x, при котором функция принимает значение, равное -1; 0; 3;
3) координаты точек пересечения графика с осями координат;
4) целые значения x, при которых функция положительна;
5) целые значения x, при которых функция отрицательна.
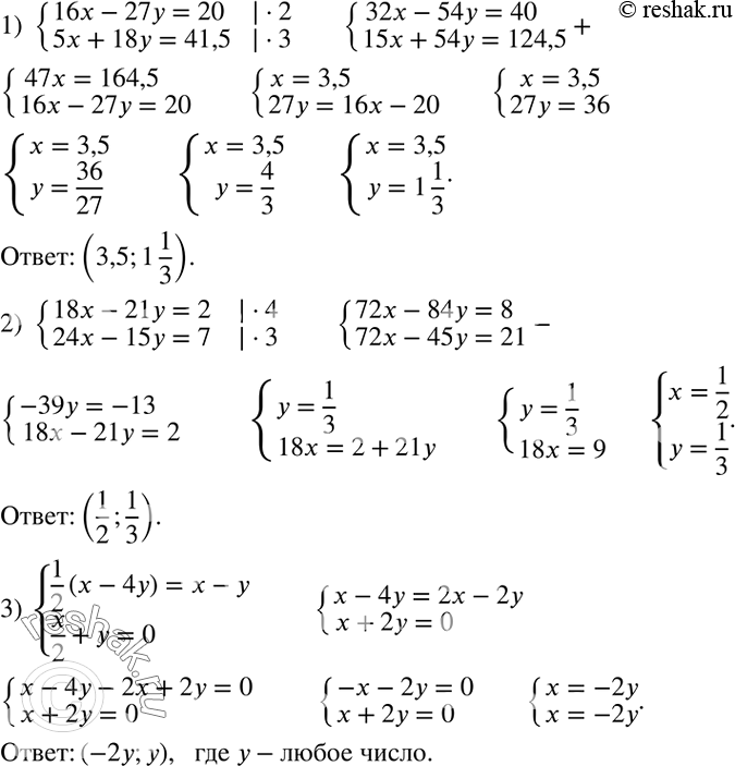
Решить систему уравнений:
1) {(16x-27y=20
5x+18y=41,5)+
2) {(18x-21y=2
24x-15y=7)+
3) {(1/2 (x-4y)=x-y
x/2+y=0)+
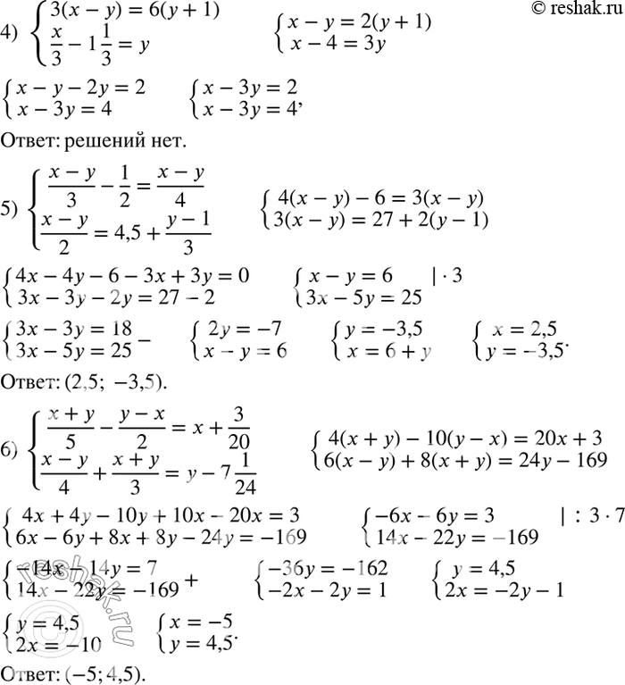
4) {(3(x-y)=6(y+1)
x/3-1 1/3=y)+
5) {((x-y)/3-1/2=(x-y)/4
(x-y)/2=4,5+(y-1)/3)+
6) {((x+y)/5-(y-x)/2=x+3/20
(x-y)/4+(x+y)/3=y-7 1/24)+
