Упражнение 697 ГДЗ Колягин Ткачёва 7 класс (Алгебра)
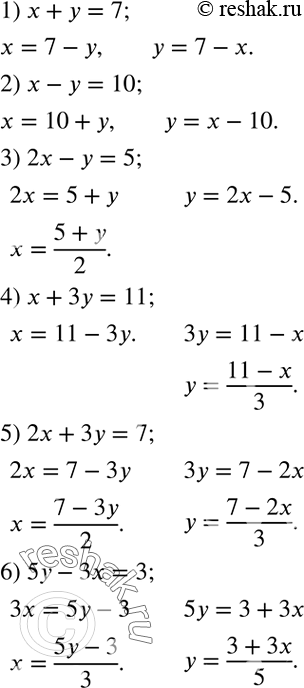
В каждом из уравнений выразить одно неизвестное через другое: 1) x+y=7; 2) x-y=10; 3) 2x-y=5; 4) x+3y=11; 5) 2x+3y=7; 6) 5y-3x=3.


Ниже вариант решения задания из учебника Колягин, Ткачёва, Фёдорова 7 класс, Просвещение:
В каждом из уравнений выразить одно неизвестное через другое:
1) x+y=7;
2) x-y=10;
3) 2x-y=5;
4) x+3y=11;
5) 2x+3y=7;
6) 5y-3x=3.
Перечислить все трехзначные числа, в записи которых встречаются только цифры 1 и 2.
