Упражнение 699 ГДЗ Колягин Ткачёва 7 класс (Алгебра)
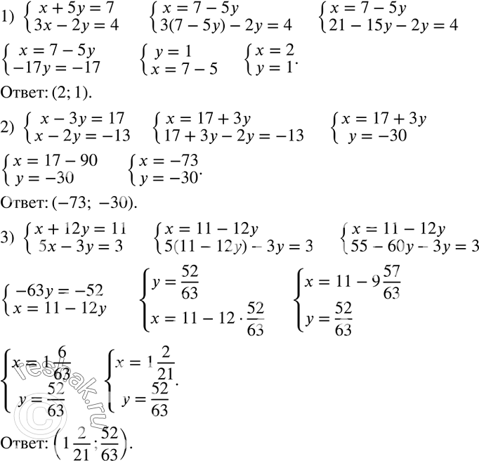
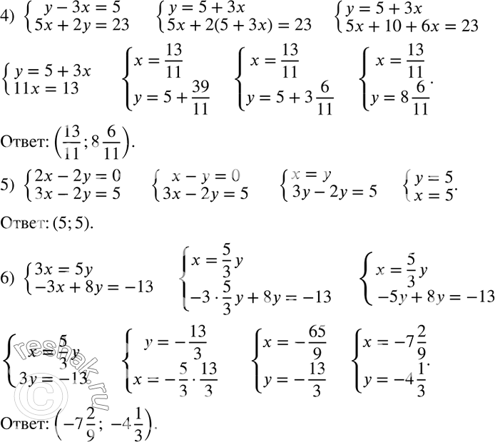
Решить систему уравнений: 1) {(x+5y=7 3x-2y=4)+ 2) {(x-3y=17 x-2y=-13)+ 3) {(x+12y=11 5x-3y=3)+ 4) {(y-3x=5 5x+2y=23)+ 5) {(2x-2y=0 3x-2y=5)+ 6) {(3x=5y -3x+8y=-13)+ У жителей планеты ХО в алфавите три буквы:



Ниже вариант решения задания из учебника Колягин, Ткачёва, Фёдорова 7 класс, Просвещение:
Решить систему уравнений:
1) {(x+5y=7
3x-2y=4)+
2) {(x-3y=17
x-2y=-13)+
3) {(x+12y=11
5x-3y=3)+
4) {(y-3x=5
5x+2y=23)+
5) {(2x-2y=0
3x-2y=5)+
6) {(3x=5y
-3x+8y=-13)+
У жителей планеты ХО в алфавите три буквы: А, О, Х. Слва в языке состоят не более чем из трех букв (буква в слове может повторяться) . Какое наибольшее количество слов может быть в словаре жителей этой планеты?
