Упражнение 700 ГДЗ Колягин Ткачёва 7 класс (Алгебра)
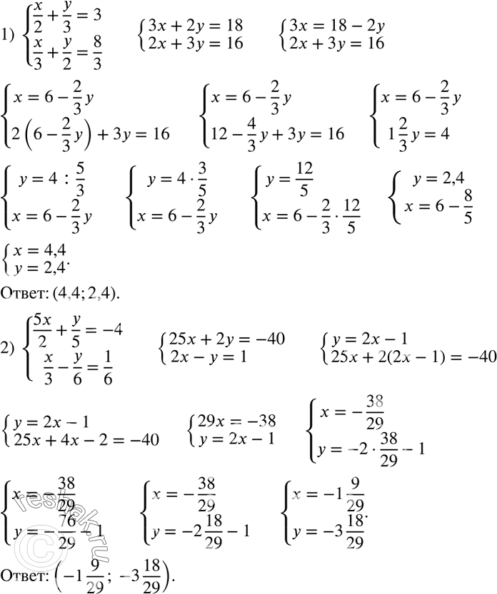
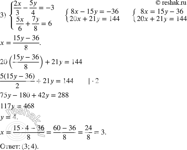
Решить систему уравнений: 1) {(x/2+y/3=3 x/3+y/2=8/3)+ 2) {(5x/2+y/5=-4 x/3-y/6=1/6)+ 3) {(2x/3-5y/4=-3 5x/6+7y/8=6)+ Пользуясь таблицей вариантов, перечислить все двузначные числа, записанные с помощью цифр:



Ниже вариант решения задания из учебника Колягин, Ткачёва, Фёдорова 7 класс, Просвещение:
Решить систему уравнений:
1) {(x/2+y/3=3
x/3+y/2=8/3)+
2) {(5x/2+y/5=-4
x/3-y/6=1/6)+
3) {(2x/3-5y/4=-3
5x/6+7y/8=6)+
Пользуясь таблицей вариантов, перечислить все двузначные числа, записанные с помощью цифр: 1) 3, 4, 5; 2) 7, 8, 9.
