Упражнение 703 ГДЗ Колягин Ткачёва 7 класс (Алгебра)
Решить систему уравнений: 1) {(2x+y-8=0 3x+4y-7=0)+ 2) {(3x-4y-2=0 5y-x-6=0)+ 3) {((7y-x)/3=-2 (x+14y)/3=4,5)+ 4) {((7x-y)/2=-3 (-8x+5y)/2=3,5)+ 5) {((y-3x)/2=1-(7x+3y)/5 (x+5y)/3=1+(x+3y)/4)+ 6) {((2x-5y)/7-1=(2x+2y)/3 (x-3y)/4+2=(7x-8y)/5)+ Составляя расписание уроков на понедельник для 7А класса, завуч хочет первым уроком поставить либо физику, либо алгебру, а вторым - либо русский язык, либо литературу, либо историю.




Ниже вариант решения задания из учебника Колягин, Ткачёва, Фёдорова 7 класс, Просвещение:
Решить систему уравнений:
1) {(2x+y-8=0
3x+4y-7=0)+
2) {(3x-4y-2=0
5y-x-6=0)+
3) {((7y-x)/3=-2
(x+14y)/3=4,5)+
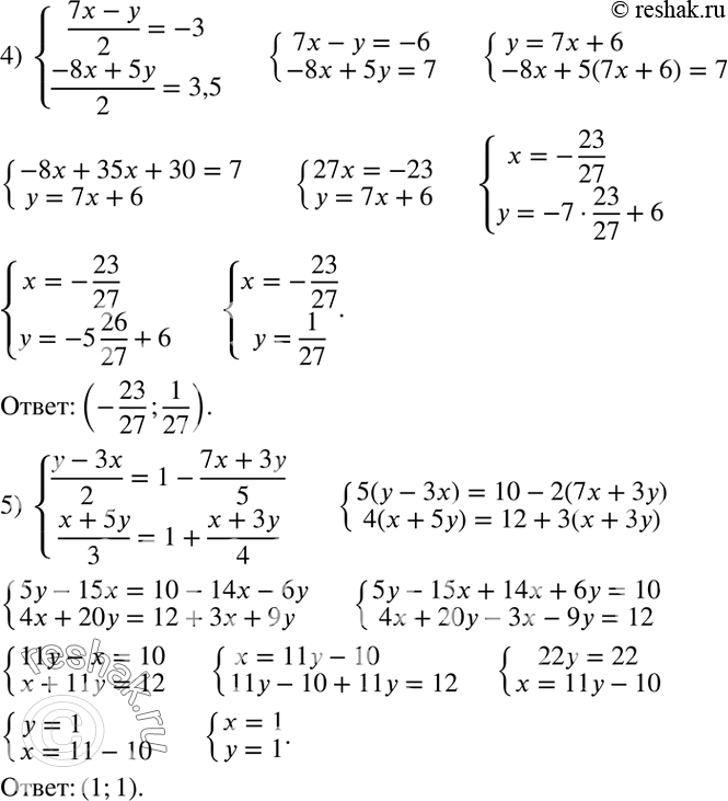
4) {((7x-y)/2=-3
(-8x+5y)/2=3,5)+
5) {((y-3x)/2=1-(7x+3y)/5
(x+5y)/3=1+(x+3y)/4)+
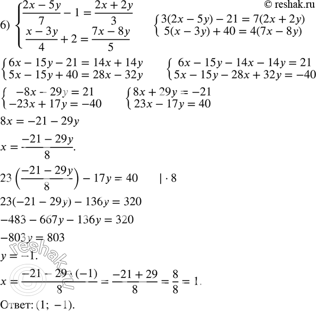
6) {((2x-5y)/7-1=(2x+2y)/3
(x-3y)/4+2=(7x-8y)/5)+
Составляя расписание уроков на понедельник для 7А класса, завуч хочет первым уроком поставить либо физику, либо алгебру, а вторым - либо русский язык, либо литературу, либо историю. Сколько существует вариантов составления расписания на первые два урока?
