Вводные упражнения 37 ГДЗ Колягин Ткачёва 7 класс (Алгебра)
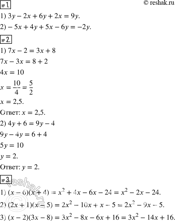
Привести подобные члены: 1) 3y-2x+6y+2x; 2)-5x+4y+5x-6y. 2. Решить уравнение: 1) 7x-2=3x+8; 2) 4y+6=9y-4. 3. Привести к многочлену стандартного вида произведение: 1) (x-6)(x+4);

Ниже вариант решения задания из учебника Колягин, Ткачёва, Фёдорова 7 класс, Просвещение:
Привести подобные члены:
1) 3y-2x+6y+2x; 2)-5x+4y+5x-6y.
2. Решить уравнение: 1) 7x-2=3x+8; 2) 4y+6=9y-4.
3. Привести к многочлену стандартного вида произведение:
1) (x-6)(x+4); 2) (2x+1)(x-5); 3) (x-2)(3x-8).
