Упражнение 93 ГДЗ Колягин Ткачёва 7 класс (Алгебра)
Требуется изготовить прямоугольную пластину площадью 45 см^2. Какой будет её ширина при длине 9 см; 12 см? В какой зависимости находятся длина и ширина этого прямоугольника?


Ниже вариант решения задания из учебника Колягин, Ткачёва, Фёдорова 7 класс, Просвещение:
Требуется изготовить прямоугольную пластину площадью 45 см^2. Какой будет её ширина при длине 9 см; 12 см? В какой зависимости находятся длина и ширина этого прямоугольника?
Решить уравнение:
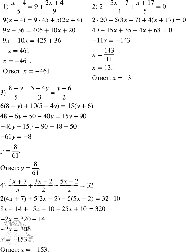
1) (x-4)/5=9+(2x+4)/9;
2) 2-(3x-7)/4+(x+17)/5=0;
3) (8-y)/5+(5-4y)/3=(y+6)/2;
4) (4x+7)/5+(3x-2)/2-(5x-2)/2=32.
