Упражнение 92 ГДЗ Колягин Ткачёва 7 класс (Алгебра)
Какому расстоянию на местности соответствуют 8 см на карте, если её масштаб: 1) 1 : 10 000; 2) 1 : 200 000;


Ниже вариант решения задания из учебника Колягин, Ткачёва, Фёдорова 7 класс, Просвещение:
Какому расстоянию на местности соответствуют 8 см на карте, если её масштаб:
1) 1 : 10 000; 2) 1 : 200 000; 3) 1 : 1 000 000?
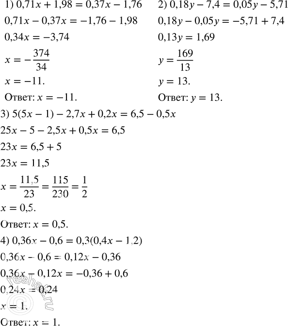
Решить уравнение:
1) 0,71x+1,98=0,37x-1,76;
2) 0,18y-7,4=0,05y-5,71;
3) 5(5x-1)-2,7x+0,2x=6,5-0,5x;
4) 0,36x-0,6=0,3(0,4x-1,2).
