Упражнение 485 ГДЗ Колягин Ткачёва 7 класс (Алгебра)
Применить распределительный закон умножения и вычислить: 1) 14 3/8•1 1/4-4 3/8•1 1/4; 2) 24•2,73+41•2,73. Выполнить действия: 1) (8a^2 b)/9c•(36c^3)/(5a^3 b); 2) (7b^4)/(9c^5 y) :(35b^4 c)/(18c^4 y^2 );


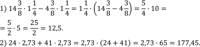
Ниже вариант решения задания из учебника Колягин, Ткачёва, Фёдорова 7 класс, Просвещение:
Применить распределительный закон умножения и вычислить:
1) 14 3/8•1 1/4-4 3/8•1 1/4;
2) 24•2,73+41•2,73.
Выполнить действия:
1) (8a^2 b)/9c•(36c^3)/(5a^3 b);
2) (7b^4)/(9c^5 y) :(35b^4 c)/(18c^4 y^2 );
3) (16x^2 y)/7z :(10xy^3)/(21z^2 );
4) (46d^3 c)/15a :(23dc^2)/(5a^3 );
5) (18m^3 n^5)/7k :(9n^2 );
6) 24k^2 :(12m^4 k^2)/(11p^3 n).
