Упражнение 486 ГДЗ Колягин Ткачёва 7 класс (Алгебра)
Вынести за скобки общий множитель: 1) 2m+2n; 2) 3a-3x; 3) 8-4x; 4) 6a+12. Выполнить действия: 1) (7-x)/(a+b)•(a-b)/(7-x); 2) (x-y)/2a•4b/(x-y); 3) (c+d)/(c-d) :c/(c-d);


Ниже вариант решения задания из учебника Колягин, Ткачёва, Фёдорова 7 класс, Просвещение:
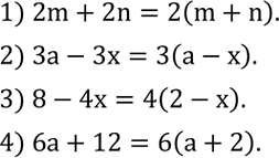
Вынести за скобки общий множитель:
1) 2m+2n;
2) 3a-3x;
3) 8-4x;
4) 6a+12.
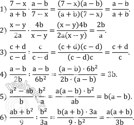
Выполнить действия:
1) (7-x)/(a+b)•(a-b)/(7-x);
2) (x-y)/2a•4b/(x-y);
3) (c+d)/(c-d) :c/(c-d);
4) (a-b)/2b :(a-b)/(6b^2 );
5) (a^2-ab)/b•b^2/a;
6) (ab+b^2)/9 :b^2/3a.
