Вводные упражнения 26 ГДЗ Колягин Ткачёва 7 класс (Алгебра)
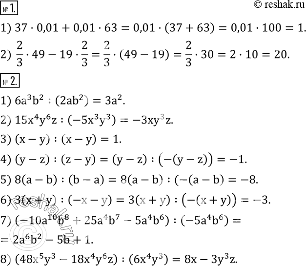
Найти рациональным способом значение выражения: 1) 37•0,01+0,01•63; 2) 2/3•49-19•2/3. 2. Выполнить деление: 1) 6a^3 b^2 :(2ab^2 ); 2) 15x^4 y^6 z:(-5x^3 y^3 );

Ниже вариант решения задания из учебника Колягин, Ткачёва, Фёдорова 7 класс, Просвещение:
Найти рациональным способом значение выражения:
1) 37•0,01+0,01•63; 2) 2/3•49-19•2/3.
2. Выполнить деление:
1) 6a^3 b^2 :(2ab^2 ); 2) 15x^4 y^6 z:(-5x^3 y^3 ); 3) (x-y):(x-y);
4) (y-z) :(z-y); 5) 8(a-b) :(b-a); 6) 3(x+y) :(-x-y);
7) (-10a^10 b^8+25a^4 b^7-5a^4 b^6 ) :(-5a^4 b^6 );
8) (48x^5 y^3-18x^4 y^6 z) :(6x^4 y^3 ).
