Упражнение 488 ГДЗ Колягин Ткачёва 7 класс (Алгебра)
Вынести за скобки общий множитель: 1) ax-ay; 2) cd+bc; 3) xy+x; 4) x-xy. Найти значение выражения: 1) (a^2-b^2)/(3a+3b)•(3a^2)/(5b-5a) при a=2,5; 2) (a^2-25)/(a^2-3a) :(a+5)/(9-a^2 ) при a=1;


Ниже вариант решения задания из учебника Колягин, Ткачёва, Фёдорова 7 класс, Просвещение:
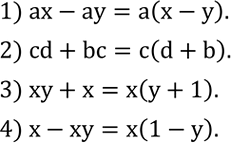
Вынести за скобки общий множитель:
1) ax-ay;
2) cd+bc;
3) xy+x;
4) x-xy.
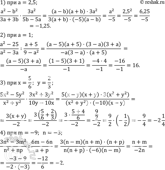
Найти значение выражения:
1) (a^2-b^2)/(3a+3b)•(3a^2)/(5b-5a) при a=2,5;
2) (a^2-25)/(a^2-3a) :(a+5)/(9-a^2 ) при a=1;
3) (5x^2-5y^2)/(x^2+y^2 )•(3x^2+3y^2)/(10y-10x) при x=5/6; y=2/3;
4) (3n^2-3m^2)/(n^2+np) :(6m-6n)/(n+p) при m=-9; n=-3.
