Упражнение 10.2 ГДЗ Мордкович Семенов 9 класс (Алгебра)
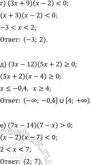
10.2. Решить неравенство: а) (x-1)(2x-6) > 0; г) (3x+9)(x-2) б) (4x+3)(5x-10)?0; д) (3x-12)(5x+2)?0; в) (5-2x)(3x-7)?0; е) (7x-14)(7-x) > 0. *Цитирирование задания со ссылкой на учебник производится исключительно в учебных целях для лучшего понимания разбора решения задания.


Ниже вариант решения задания из учебника Мордкович, Семенов, Александрова 9 класс, Бином:
10.2. Решить неравенство:
а) (x-1)(2x-6) > 0; г) (3x+9)(x-2)
б) (4x+3)(5x-10)?0; д) (3x-12)(5x+2)?0;
в) (5-2x)(3x-7)?0; е) (7x-14)(7-x) > 0.
