Упражнение 10.7 ГДЗ Мордкович Семенов 9 класс (Алгебра)
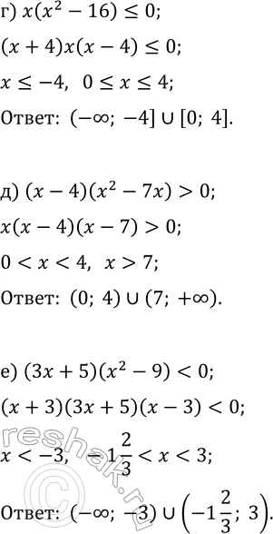
10.7. Решить неравенство: а) x(x^2-4)?0; г) x(x^2-16)?0; б) (x^2+3x)(2x-5) 0; в) (2x+7)(x^2-1) > 0; е) (3x+5)(x^2-9) *Цитирирование задания со ссылкой на учебник производится исключительно в учебных целях для лучшего понимания разбора решения задания.


Ниже вариант решения задания из учебника Мордкович, Семенов, Александрова 9 класс, Бином:
10.7. Решить неравенство:
а) x(x^2-4)?0; г) x(x^2-16)?0;
б) (x^2+3x)(2x-5) 0;
в) (2x+7)(x^2-1) > 0; е) (3x+5)(x^2-9)
