Упражнение 10.4 ГДЗ Мордкович Семенов 9 класс (Алгебра)
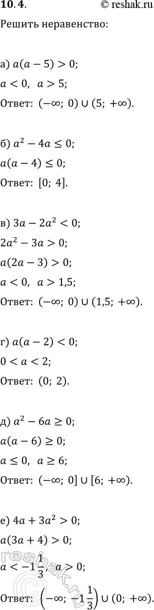
10.4. Решить неравенство: а) a(a-5) > 0; г) a(a-2) б) a^2-4a?0; д) a^2-6a?0; в) 3a-2a^2 0. *Цитирирование задания со ссылкой на учебник производится исключительно в учебных целях для лучшего понимания разбора решения задания.

Ниже вариант решения задания из учебника Мордкович, Семенов, Александрова 9 класс, Бином:
10.4. Решить неравенство:
а) a(a-5) > 0; г) a(a-2)
б) a^2-4a?0; д) a^2-6a?0;
в) 3a-2a^2 0.
