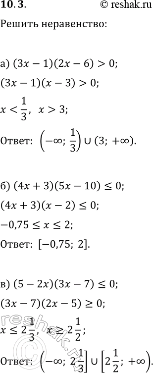
Упражнение 10.3 ГДЗ Мордкович Семенов 9 класс (Алгебра)
10.3. Решите неравенство: а) (3x-1)(2x-6) > 0; г) (3x+9)(5x-2) б) (4x+3)(5x-10)?0; д) (3x-12)(2x+11)?0; в) (5-2x)(3x-7)?0; е) (7x-14)(7-4x) > 0. *Цитирирование задания со ссылкой на учебник производится исключительно в учебных целях для лучшего понимания разбора решения задания.


Ниже вариант решения задания из учебника Мордкович, Семенов, Александрова 9 класс, Бином:
10.3. Решите неравенство:
а) (3x-1)(2x-6) > 0; г) (3x+9)(5x-2)
б) (4x+3)(5x-10)?0; д) (3x-12)(2x+11)?0;
в) (5-2x)(3x-7)?0; е) (7x-14)(7-4x) > 0.
