Упражнение 10.5 ГДЗ Мордкович Семенов 9 класс (Алгебра)
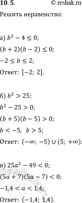
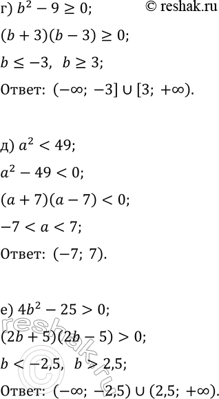
10.5. Решить неравенство: а) b^2-4?0; г) b^2-9?0; б) b^2 > 25; д) a^2 в) 25a^2-49 0. *Цитирирование задания со ссылкой на учебник производится исключительно в учебных целях для лучшего понимания разбора решения задания.


Ниже вариант решения задания из учебника Мордкович, Семенов, Александрова 9 класс, Бином:
10.5. Решить неравенство:
а) b^2-4?0; г) b^2-9?0;
б) b^2 > 25; д) a^2
в) 25a^2-49 0.
