Упражнение 11.11 ГДЗ Мордкович Семенов 9 класс (Алгебра)
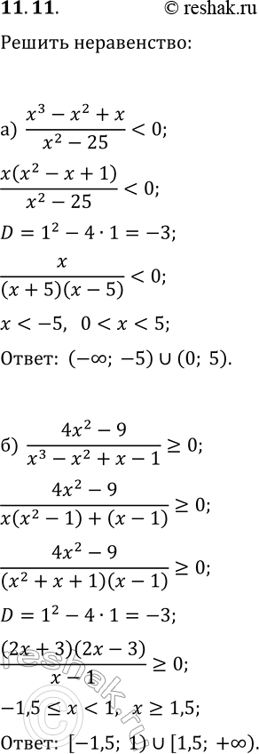
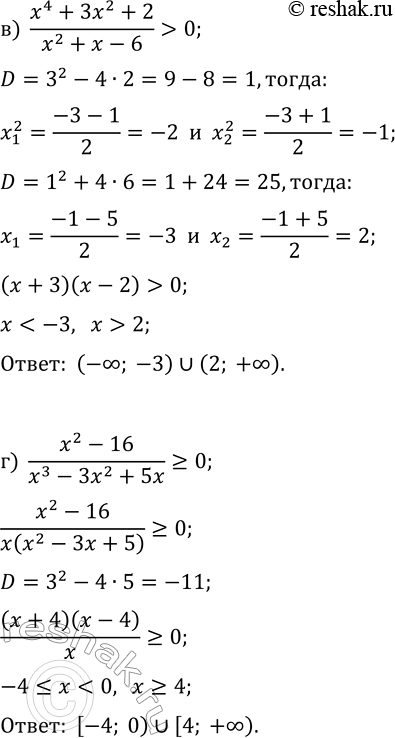
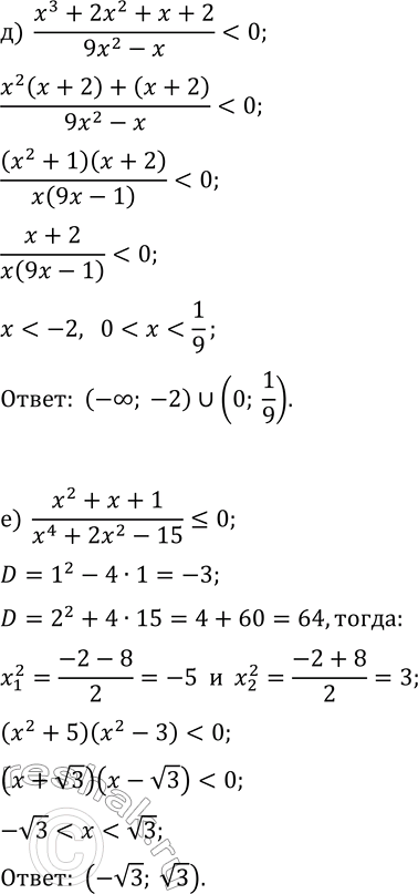
11.11. Решите неравенство: а) (x^3-x^2+x)/(x^2-25) б) (4x^2-9)/(x^3-x^2+x-1)?0; д) (x^3+2x^2+x+2)/(9x^2-x) в) (x^4+3x^2+2)/(x^2+x-6) > 0; е) (x^2+x+1)/(x^4+2x^2-15)?0. *Цитирирование задания со ссылкой на учебник производится исключительно в учебных целях для лучшего понимания разбора решения задания.
Ниже вариант решения задания из учебника Мордкович, Семенов, Александрова 9 класс, Бином:
11.11. Решите неравенство:
а) (x^3-x^2+x)/(x^2-25)
б) (4x^2-9)/(x^3-x^2+x-1)?0; д) (x^3+2x^2+x+2)/(9x^2-x)
в) (x^4+3x^2+2)/(x^2+x-6) > 0; е) (x^2+x+1)/(x^4+2x^2-15)?0.



