Упражнение 14.12 ГДЗ Мордкович Семенов 9 класс (Алгебра)
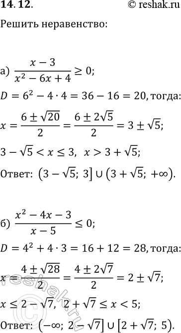
14.12. Решите неравенство: а) (x-3)/(x^2-6x+4)?0; б) (x^2-4x-3)/(x-5)?0. *Цитирирование задания со ссылкой на учебник производится исключительно в учебных целях для лучшего понимания разбора решения задания.

Ниже вариант решения задания из учебника Мордкович, Семенов, Александрова 9 класс, Бином:
14.12. Решите неравенство:
а) (x-3)/(x^2-6x+4)?0;
б) (x^2-4x-3)/(x-5)?0.
