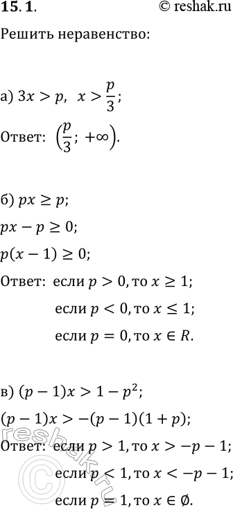
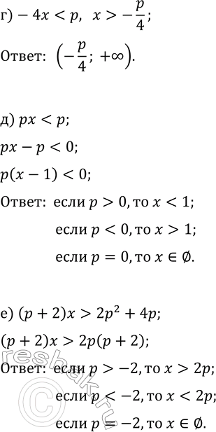
Упражнение 15.1 ГДЗ Мордкович Семенов 9 класс (Алгебра)
15.1. Для всех значений параметра р решите неравенство: а) 3x > p; г) -4x б) px?p; д) px в) (p-1)x >
Ниже вариант решения задания из учебника Мордкович, Семенов, Александрова 9 класс, Бином:
15.1. Для всех значений параметра р решите неравенство:
а) 3x > p; г) -4x
б) px?p; д) px
в) (p-1)x > 1-p^2; е) (p+2)x > 2p^2+4p.


