Упражнение 14.13 ГДЗ Мордкович Семенов 9 класс (Алгебра)
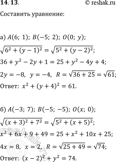
14.13. Составьте уравнение окружности: а) с центром на оси Оу, проходящей через точки (6; 1) и (-5; 2); б) с центром на оси Ох, проходящей через точки (—3;

Ниже вариант решения задания из учебника Мордкович, Семенов, Александрова 9 класс, Бином:
14.13. Составьте уравнение окружности:
а) с центром на оси Оу, проходящей через точки (6; 1) и (-5; 2);
б) с центром на оси Ох, проходящей через точки (—3; 7) и (-5; -5).
