Упражнение 14.8 ГДЗ Мордкович Семенов 9 класс (Алгебра)
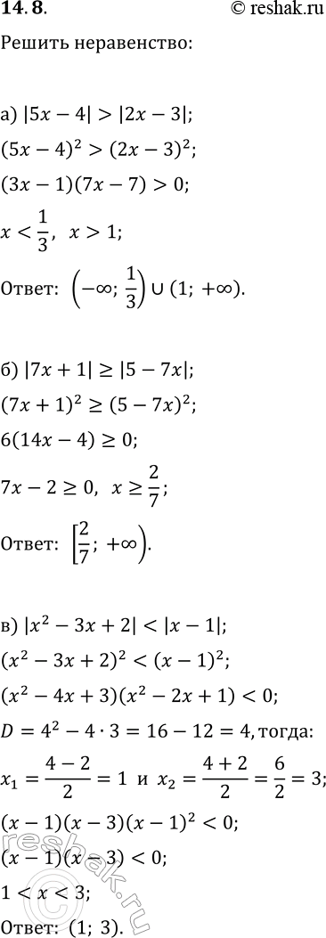
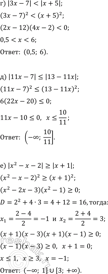
14.8. Решите неравенство: а) |5x-4| > |2x-3|; г) |3x-7| б) |7x+1|?|5-7x|; д) |11x-7|?|13-11x|; в) |x^2-3x+2| *Цитирирование задания со ссылкой на учебник производится исключительно в учебных целях для лучшего понимания разбора решения задания.
Ниже вариант решения задания из учебника Мордкович, Семенов, Александрова 9 класс, Бином:
14.8. Решите неравенство:
а) |5x-4| > |2x-3|; г) |3x-7|
б) |7x+1|?|5-7x|; д) |11x-7|?|13-11x|;
в) |x^2-3x+2|


