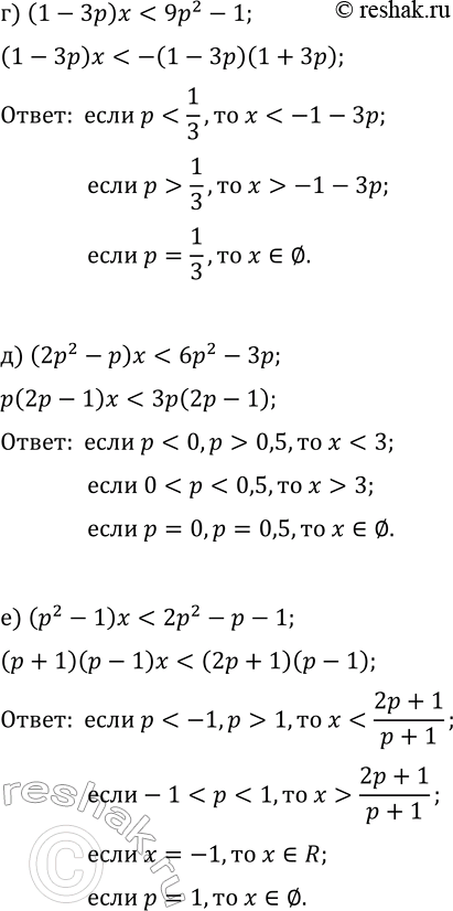
Упражнение 15.2 ГДЗ Мордкович Семенов 9 класс (Алгебра)
15.2. Для всех значений параметра р решите неравенство: а) (2p+1)x > 4p^2-1; г) (1-3p)x б) (p^2+p)x?2p^2-4p; д) (2p^2-p)x в) (p^2-4)x >
Ниже вариант решения задания из учебника Мордкович, Семенов, Александрова 9 класс, Бином:
15.2. Для всех значений параметра р решите неравенство:
а) (2p+1)x > 4p^2-1; г) (1-3p)x
б) (p^2+p)x?2p^2-4p; д) (2p^2-p)x
в) (p^2-4)x > p^2-5p+6; е) (p^2-1)x


