Упражнение 14.5 ГДЗ Мордкович Семенов 9 класс (Алгебра)
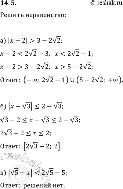
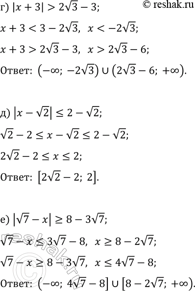
14.5. Решите неравенство: а) |x-2| > 3-2v2; г) |x+3| > 2v3-3; б) |x-v3|?2-v3; д) |x-v2|?2-v2; в) |v5-x| *Цитирирование задания со ссылкой на учебник производится исключительно в учебных целях для лучшего понимания разбора решения задания.


Ниже вариант решения задания из учебника Мордкович, Семенов, Александрова 9 класс, Бином:
14.5. Решите неравенство:
а) |x-2| > 3-2v2; г) |x+3| > 2v3-3;
б) |x-v3|?2-v3; д) |x-v2|?2-v2;
в) |v5-x|
