Упражнение 14.4 ГДЗ Мордкович Семенов 9 класс (Алгебра)
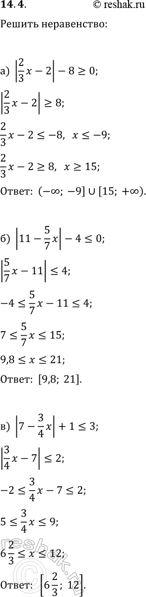
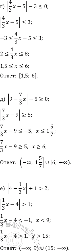
14.4. Решите неравенство: а) |(2/3)x-2|-8?0; г) |(4/3)x-5|-3?0; б) |11-(5/7)x|-4?0; д) |9-(7/3)x|-5?0; в) |7-(3/4)x|+1?3; е) |4-(1/3)x|+1 > 2. *Цитирирование задания со ссылкой на учебник производится исключительно в учебных целях для лучшего понимания разбора решения задания.


Ниже вариант решения задания из учебника Мордкович, Семенов, Александрова 9 класс, Бином:
14.4. Решите неравенство:
а) |(2/3)x-2|-8?0; г) |(4/3)x-5|-3?0;
б) |11-(5/7)x|-4?0; д) |9-(7/3)x|-5?0;
в) |7-(3/4)x|+1?3; е) |4-(1/3)x|+1 > 2.
