Упражнение 15.17 ГДЗ Мордкович Семенов 9 класс (Алгебра)
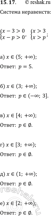
15.17. Укажите все значения параметра р, при которых решением системы неравенств {x-3 > 0, x-p > 0} является промежуток: а) (5;

Ниже вариант решения задания из учебника Мордкович, Семенов, Александрова 9 класс, Бином:
15.17. Укажите все значения параметра р, при которых решением системы неравенств {x-3 > 0, x-p > 0} является промежуток:
а) (5; +?); в) [4; +?); д) (1; +?);
б) (3; +?); г) [3; +?); е) [2; +?).
