Упражнение 15.16 ГДЗ Мордкович Семенов 9 класс (Алгебра)
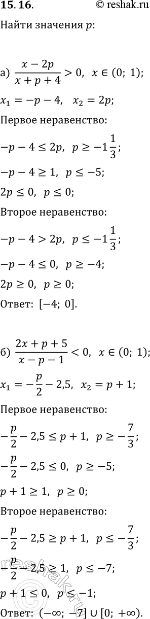
15.16. а) Найдите все значения параметра р, при каждом из которых неравенство (x-2p)/(x+p+4) > 0 выполняется при всех значениях х из интервала (0;

Ниже вариант решения задания из учебника Мордкович, Семенов, Александрова 9 класс, Бином:
15.16. а) Найдите все значения параметра р, при каждом из которых неравенство (x-2p)/(x+p+4) > 0 выполняется при всех значениях х из интервала (0; 1).
б) Найдите все значения параметра р, при каждом из которых неравенство (2x+p+5)/(x-p-1)
