Упражнение 15.19 ГДЗ Мордкович Семенов 9 класс (Алгебра)
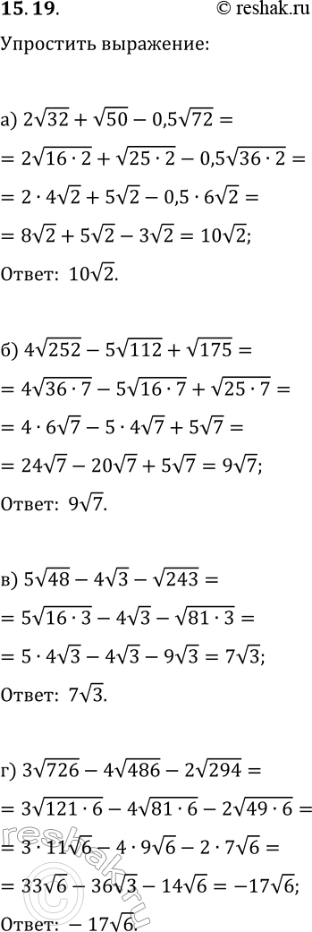
15.19. Упростите выражение: а) 2v32+v50-0,5v72; б) 4v252-5v112+v175; в) 5v48-4v3-v243; г) 3v726-4v486-2v294. *Цитирирование задания со ссылкой на учебник производится исключительно в учебных целях для лучшего понимания разбора решения задания.

Ниже вариант решения задания из учебника Мордкович, Семенов, Александрова 9 класс, Бином:
15.19. Упростите выражение:
а) 2v32+v50-0,5v72;
б) 4v252-5v112+v175;
в) 5v48-4v3-v243;
г) 3v726-4v486-2v294.
