Упражнение 15.15 ГДЗ Мордкович Семенов 9 класс (Алгебра)
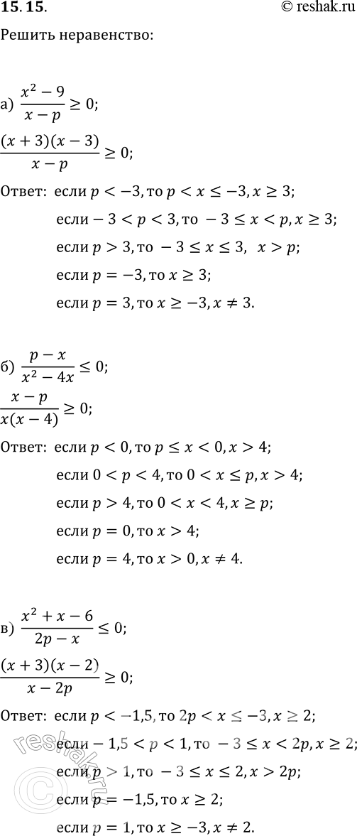
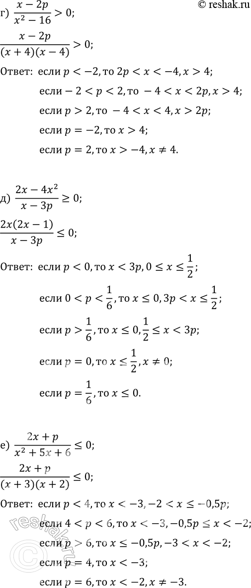
15.15. Решите неравенство с параметром р: а) (x^2-9)/(x-p)?0; г) (x-2p)/(x^2-16) > 0; б) (p-x)/(x^2-4x)?0; д) (2x-4x^2)/(x-3p)?0; в) (x^2+x-6)/(2p-x)?0; е) (2x+p)/(x^2+5x+6)?0. *Цитирирование задания со ссылкой на учебник производится исключительно в учебных целях для лучшего понимания разбора решения задания.


Ниже вариант решения задания из учебника Мордкович, Семенов, Александрова 9 класс, Бином:
15.15. Решите неравенство с параметром р:
а) (x^2-9)/(x-p)?0; г) (x-2p)/(x^2-16) > 0;
б) (p-x)/(x^2-4x)?0; д) (2x-4x^2)/(x-3p)?0;
в) (x^2+x-6)/(2p-x)?0; е) (2x+p)/(x^2+5x+6)?0.
