Упражнение 15.14 ГДЗ Мордкович Семенов 9 класс (Алгебра)
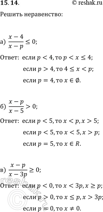
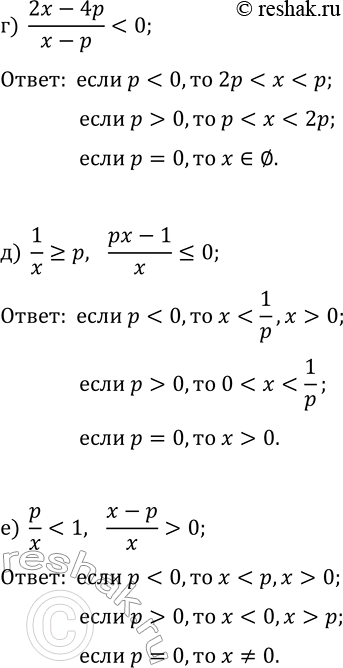
15.14. Решите неравенство с параметром р: а) (x-4)/(x-p)?0; в) (x-p)/(x-3p)?0; д) 1/x?p; б) (x-p)/(x-5)?0; г) (2x-4p)/(x-p) *Цитирирование задания со ссылкой на учебник производится исключительно в учебных целях для лучшего понимания разбора решения задания.


Ниже вариант решения задания из учебника Мордкович, Семенов, Александрова 9 класс, Бином:
15.14. Решите неравенство с параметром р:
а) (x-4)/(x-p)?0; в) (x-p)/(x-3p)?0; д) 1/x?p;
б) (x-p)/(x-5)?0; г) (2x-4p)/(x-p)
