Упражнение 19.12 ГДЗ Мордкович Семенов 9 класс (Алгебра)
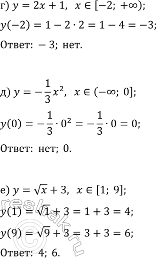
19.12. Найдите наименьшее и наибольшее значения данной функции: а) y=3x-2, x?[2; 4]; г) y=2x+1, x?[-2; +?); б) y=-3x^2, x?[-2; 2]; д) y=-1/3 x^2, x?(-?;
![Решение задачи: 19.12. Найдите наименьшее и наибольшее значения данной функции: а) y=3x-2, x?[2; 4]; г) y=2x+1, x?[-2; +?); б) y=-3x^2, x?[-2; 2]; д) y=-1/3 x^2, x?(-?;](solutions/algebra/9/626/1-19-12.png)
![Решение задачи: 19.12. Найдите наименьшее и наибольшее значения данной функции: а) y=3x-2, x?[2; 4]; г) y=2x+1, x?[-2; +?); б) y=-3x^2, x?[-2; 2]; д) y=-1/3 x^2, x?(-?;](solutions/algebra/9/626/2-19-12-.png)
Ниже вариант решения задания из учебника Мордкович, Семенов, Александрова 9 класс, Бином:
19.12. Найдите наименьшее и наибольшее значения данной функции:
а) y=3x-2, x?[2; 4]; г) y=2x+1, x?[-2; +?);
б) y=-3x^2, x?[-2; 2]; д) y=-1/3 x^2, x?(-?; 0];
в) y=v(x+3), x?[-2; 1]; е) y=vx+3, x?[1; 9].
