Упражнение 23.14 ГДЗ Мордкович Семенов 9 класс (Алгебра)
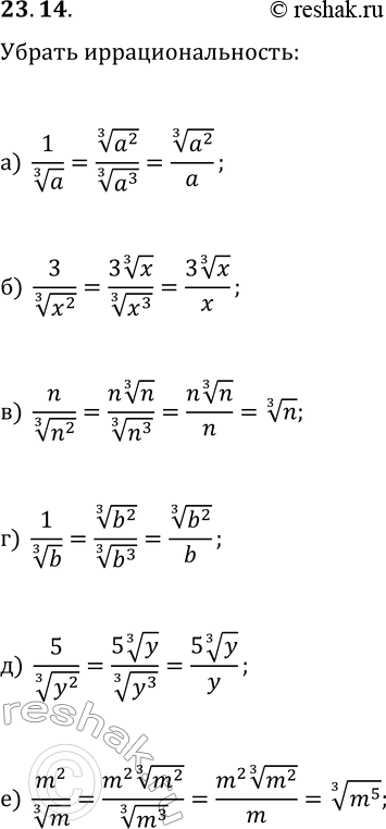
23.14. Освободитесь от иррациональности в знаменателе дроби: а) 1/a^(1/3); в) n/n^(2/3); д) 5/y^(2/3); б) 3/x^(2/3); г) 1/b^(1/3); е) m^2/m^(1/3). *Цитирирование задания со ссылкой на учебник производится исключительно в учебных целях для лучшего понимания разбора решения задания.

Ниже вариант решения задания из учебника Мордкович, Семенов, Александрова 9 класс, Бином:
23.14. Освободитесь от иррациональности в знаменателе дроби:
а) 1/a^(1/3); в) n/n^(2/3); д) 5/y^(2/3);
б) 3/x^(2/3); г) 1/b^(1/3); е) m^2/m^(1/3).
