Упражнение 23.16 ГДЗ Мордкович Семенов 9 класс (Алгебра)
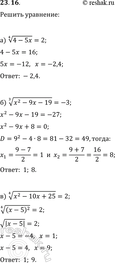
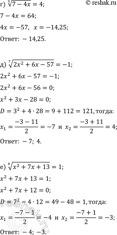
23.16. Решите уравнение: а) (4-5x)^(1/4)=2; г) (7-4x)^(1/3)=4; б) (x^2-9x-19)^(1/3)=-3; д) (2x^2+6x-57)^(1/7)=-1; в) (x^2-10x+25)^(1/4)=2; е) (x^2+7x+13)^(1/6)=1. *Цитирирование задания со ссылкой на учебник производится исключительно в учебных целях для лучшего понимания разбора решения задания.


Ниже вариант решения задания из учебника Мордкович, Семенов, Александрова 9 класс, Бином:
23.16. Решите уравнение:
а) (4-5x)^(1/4)=2; г) (7-4x)^(1/3)=4;
б) (x^2-9x-19)^(1/3)=-3; д) (2x^2+6x-57)^(1/7)=-1;
в) (x^2-10x+25)^(1/4)=2; е) (x^2+7x+13)^(1/6)=1.
