Упражнение 26.13 ГДЗ Мордкович Семенов 9 класс (Алгебра)
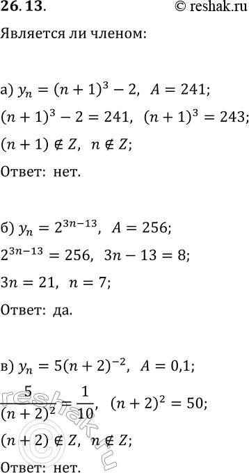
26.13. Установите, является ли членом последовательности (y_n) данное число А, если: а) y_n=(n+1)^3-2, A=241; б) y_n=2^(3n-13), A=256; в) y_n=5(n+2)^(-2), A=0,1; г) y_n=n^2-16n+5, A=-10;


Ниже вариант решения задания из учебника Мордкович, Семенов, Александрова 9 класс, Бином:
26.13. Установите, является ли членом последовательности (y_n) данное число А, если:
а) y_n=(n+1)^3-2, A=241;
б) y_n=2^(3n-13), A=256;
в) y_n=5(n+2)^(-2), A=0,1;
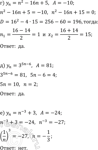
г) y_n=n^2-16n+5, A=-10;
д) y_n=3^(5n-6), A=81;
е) y_n=n^(-3)+3, A=-24.
