Упражнение 26.14 ГДЗ Мордкович Семенов 9 класс (Алгебра)
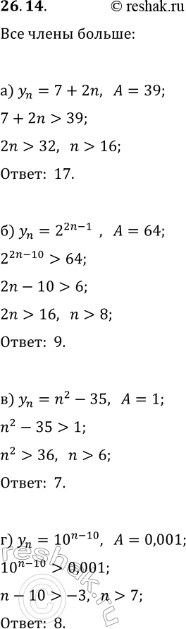
26.14. Найдите номер члена последовательности (y_n), начиная с которого y_n > A, если: а) y_n=7+2n, A=39; в) y_n=n^2-35, A=1; б) y_n=2^(2n-10), A=64;

Ниже вариант решения задания из учебника Мордкович, Семенов, Александрова 9 класс, Бином:
26.14. Найдите номер члена последовательности (y_n), начиная с которого y_n > A, если:
а) y_n=7+2n, A=39; в) y_n=n^2-35, A=1;
б) y_n=2^(2n-10), A=64; г) y_n=10^(n-10), A=0,001.
