Упражнение 28.6 ГДЗ Мордкович Семенов 9 класс (Алгебра)
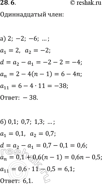
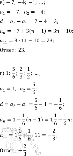
28.6. Найдите одиннадцатый член арифметической прогрессии: а) 2, -2, -6, ...; в) -7, -4, -1, ...; б) 0,1, 0,7, 1,3, ...;


Ниже вариант решения задания из учебника Мордкович, Семенов, Александрова 9 класс, Бином:
28.6. Найдите одиннадцатый член арифметической прогрессии:
а) 2, -2, -6, ...; в) -7, -4, -1, ...;
б) 0,1, 0,7, 1,3, ...; г) 1, 5/6, 2/3, 1/2, ... .
