Упражнение 28.5 ГДЗ Мордкович Семенов 9 класс (Алгебра)
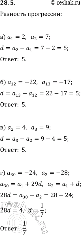
28.5. Найдите разность d арифметической прогрессии (a_n), если: а) a_1=2, a_2=7; в) a_2=4, a_3=9; б) a_12=-22, a_13=-17; г) a_30=-24, a_2=-28. *Цитирирование задания со ссылкой на учебник производится исключительно в учебных целях для лучшего понимания разбора решения задания.

Ниже вариант решения задания из учебника Мордкович, Семенов, Александрова 9 класс, Бином:
28.5. Найдите разность d арифметической прогрессии (a_n), если:
а) a_1=2, a_2=7; в) a_2=4, a_3=9;
б) a_12=-22, a_13=-17; г) a_30=-24, a_2=-28.
