Упражнение 28.8 ГДЗ Мордкович Семенов 9 класс (Алгебра)
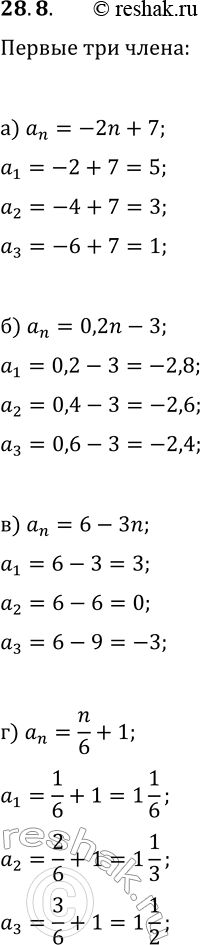
28.8. Найдите первые три члена арифметической прогрессии, заданной формулой n-го члена: а) a_n=-2n+7; в) a_n=6-3n; б) a_n=0,2n-3; г) a_n=n/6+1. *Цитирирование задания со ссылкой на учебник производится исключительно в учебных целях для лучшего понимания разбора решения задания.

Ниже вариант решения задания из учебника Мордкович, Семенов, Александрова 9 класс, Бином:
28.8. Найдите первые три члена арифметической прогрессии, заданной формулой n-го члена:
а) a_n=-2n+7; в) a_n=6-3n;
б) a_n=0,2n-3; г) a_n=n/6+1.
