Упражнение 28.7 ГДЗ Мордкович Семенов 9 класс (Алгебра)
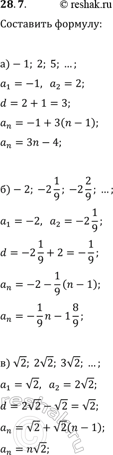
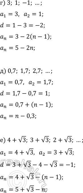
28.7. Составьте формулу n-го члена арифметической прогрессии: а) -1, 2, 5, ...; г) 3, 1, -1, ...; б) -2, -2 1/9, -2 2/9, ...;


Ниже вариант решения задания из учебника Мордкович, Семенов, Александрова 9 класс, Бином:
28.7. Составьте формулу n-го члена арифметической прогрессии:
а) -1, 2, 5, ...; г) 3, 1, -1, ...;
б) -2, -2 1/9, -2 2/9, ...; д) 0,7, 1,7, 2,7, ...;
в) v2, 2v2, 3v2, ...; е) 4+v3, 3+v3, 2+v3, ... .
