Упражнение 3.15 ГДЗ Мордкович Семенов 9 класс (Алгебра)
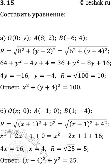
3.15. Составьте уравнение окружности: а) с центром на оси Оу и проходящей через точки (8; 2) и (—6; 4); б) с центром на оси Ох и проходящей через точки (-1;

Ниже вариант решения задания из учебника Мордкович, Семенов, Александрова 9 класс, Бином:
3.15. Составьте уравнение окружности:
а) с центром на оси Оу и проходящей через точки (8; 2) и (—6; 4);
б) с центром на оси Ох и проходящей через точки (-1; 0) и (1; -4).
